2025 års ekonomipris till Joel Mokyr, Philippe Aghion och Peter Howitt
Sveriges Riksbanks pris i ekonomisk vetenskap till Alfred Nobels minne år 2025 ges för förklaringar till innovationsdriven ekonomisk tillväxt, särskilt till Joel Mokyr för att ha identifierat förutsättningarna för ihållande tillväxt genom teknologisk utveckling och till Philippe Aghion och Peter Howitt för teorin om tillväxt genom kreativ förstörelse.
- Pristagarna
Årets pris belönar två separata men komplementära bidrag som beskriver hur innovationsdriven ekonomisk tillväxt blev det ”nya normala”. Ekonomhistorikern Joel Mokyr, verksam vid Northwestern University och Tel Aviv University, belönas med en halva av priset för beskrivningen av hur vetenskapliga genombrott och praktiska tillämpningar under vissa förutsättningar kan förstärka varandra och skapa en självdrivande process som leder till ihållande ekonomisk tillväxt. Hans bidrag finns i en rad av publikationer, särskilt tre böcker (Mokyr 1990, 2002, 2009).
Den andra halvan av priset går till nationalekonomerna Philippe Aghion, vid Collège de France, INSEAD och London School of Economics, och Peter Howitt, vid Brown University. I en banbrytande artikel från 1992 (Aghion och Howitt 1992) konstruerar de ett teoretiskt ramverk som beskriver hur företag investerar i att hitta teknologiska förbättringar som leder till nya och bättre produkter men som också slår ut företag som tidigare hade de bästa produkterna. Tillväxt är enligt deras ramverk en process som kännetecknas av ”kreativ förstörelse” – kreativ eftersom nya innovationer skapar högre produktivitet och vinster för innovatören, men också förstörande eftersom de drar undan mattan för tidigare innovationer. Deras artikel har följts av en strid ström av forskning – både av pristagarna och många andra som utvidgar ramverket och dokumenterar dess empiriska relevans.
De två delarna av priset analyserar samma fråga: vilka är mekanismerna bakom ihållande ekonomisk tillväxt baserad på teknologiska innovationer? Pristagarna förklarar ihållande tillväxt med samma paradigm – en självdrivande process av kreativ förstörelse – men använder olika metoder. Mokyr använder ekonomhistorikerns verktygslåda medan Aghion och Howitt konstruerar en nationalekonomisk teori. Pristagarnas bidrag förstärker varandra och har ökat vår förståelse för ihållande ekonomisk tillväxt. Detta är av stort akademiskt värde. Men det är också centralt för att förstå vad som krävs för att tillväxten ska kunna fortsätta och styras i en riktning som bäst gagnar mänskligheten.
- Bakgrund
Från stagnation till ihållande tillväxt
Under de senaste två seklerna har ekonomisk tillväxt baserad på en ständig ström av teknologiska innovationer varit det normala. Den tekniska utvecklingen leder till att gamla sätt att göra saker och ting på blir förlegade och utkonkurrerade – det nya rycker undan mattan för det gamla. Över tid har denna process i grunden förändrat våra samhällen och radikalt förbättrat vår levnadsstandard. Inte mycket är sig likt i ett hundra- eller tvåhundraårigt perspektiv.
Ekonomisk tillväxt baserad på teknisk utveckling har dock inte alltid varit det normala – tvärtom. Under merparten av mänsklighetens historia förändrades inte människors levnadsvillkor särskilt mycket från generation till generation. Detta trots att viktiga teknologiska upptäckter ibland gjordes.
Figur 1. Real BNP per capita 1300–1700

Källa: Maddison Project Database 2023 med källor från Broadberry m fl (2015), Krantz (2017) samt Schön och Krantz (2012, 2015).
Figur 1 visar inkomst per person i Storbritannien och Sverige åren 1300 till 1700 i fasta priser. Det går att urskilja perioder av tillväxt, men de blir aldrig ihållande. Stagnation var det normala, ibland avbruten av en period med tillväxt som alltid tog slut efter ett tag. De genomsnittliga tillväxttakterna i figuren är 0,18 och 0,14 procent per år för Storbritannien respektive Sverige. Med sådan tillväxt är dubbleringstakterna 380 respektive 490 år. Skillnaden i inkomst som uppstod mellan generationer, säg under 35 år, var med dessa låga tillväxttakter sju respektive fem procent, dvs den var knappast märkbar.
I samband med den industriella revolutionen för lite drygt ett par hundra år sedan ändrades detta i grunden. Med början i England och därefter i allt fler länder blev teknologiska innovationer och vetenskapliga framsteg sammanlänkade i en kedja utan slut i stället för att vara isolerade händelser. Nya upptäckter ledde till fler i en självdrivande process. Resultatet blev ihållande och förvånansvärt stabil ekonomisk tillväxt. Figur 2 visar den ekonomiska tillväxten i USA, Storbritannien och Sverige sedan 1825. Det går att urskilja upp- och nedgångar, men det övergripande mönstret är tydligt. Förutom lätt identifierbara episoder som depressionen på 1930-talet blev tillväxt i stället för stagnation det nya normala.
Figur 2. Real BNP per capita 1825–2022 samt trend med konstant tillväxt

Källa: Maddison Project Database 2023 med källor från Broadberry m fl (2015), Krantz (2017), Prados de la Escosura (2009), Schön och Krantz (2012, 2015) och Sutch (2006).
Figur 2 har en logaritmisk lodrätt skala. Det medför att en konstant tillväxt avbildas som en rät linje. Som vi ser har inkomsterna i stort sett följt en sådan rät linje med en årlig tillväxt på ungefär 1,5 procent per år under två århundraden. 1,5 procent per år kan låta lite, och det är inte så mycket om vi talar om enstaka år. Men en ihållande tillväxt på denna nivå får med tiden en revolutionerande effekt på människors levnadsvillkor. Dubbleringstiderna för inkomsterna i figuren är 54, 45 och 40 år för Storbritannien, USA respektive Sverige. Då är tillväxten mellan generationer allt annat än omärkbar. Ett liknande mönster, med ihållande tillväxt först någon gång efter 1800-talets början finns i de flesta av världens industrialiserade länder.
Årets pris handlar om vilka faktorer som ligger bakom ihållande tillväxt, historiskt såväl som i dag och i framtiden. Vilka krafter kan leda till en process där nya upptäckter sår frö till nya i en självdrivande process utan slut? Och hur ska ekonomisk politik utformas för att styra denna process på ett sätt som bäst gagnar mänskligheten?
- Mokyr – vad som krävs för ihållande tillväxt
Joel Mokyrs prisbelönade forskning (Mokyr, 1990, 2002, 2009) handlar om att beskriva vad som krävs för ihållande tillväxt driven av teknologiska innovationer. Mokyr poängterar att viktiga teknologiska upptäckter gjorts i hela mänsklighetens historia – dvs långt innan ihållande tillväxt uppstod. Till exempel upptäcktes cement av romarna, papper och kompassen i Kina, Herons ångkula1 under antiken och den tunga plogen under medeltiden i Europa. Men varför ledde inte dessa upptäckter till ihållande tillväxt?
Ihållande tillväxt behöver ”användbar kunskap”
Mokyr visar att ihållande tillväxt kräver ett flöde av ”användbar kunskap” för att kunna underbygga långsiktig tillväxt. Användbar kunskap består i sin tur av två komponenter. Den första är kunskap om grundläggande naturvetenskapliga principer för hur världen fungerar som Mokyr (2002) refererar till som ”förklarande kunskap” (propositional knowledge). Sådan kunskap kan förklara varför något fungerar och användas för att beskriva vad som borde kunna fungera. Den andra komponenten är ”föreskrivande kunskap” (prescriptive knowledge). Denna kunskap handlar om att något fungerar och vad som i praktiken krävs för att det ska fungera.2
I dag är förklarande kunskap till stor del det vi kallar vetenskap medan föreskrivande kunskap är tillämpad teknologi. Men i ett historiskt perspektiv är det viktigt att notera att begreppen är bredare. Förklarande kunskap innefattar också katalogisering och systematiska beskrivningar av den fysiska verkligheten, t ex i form av kartor. Föreskrivande kunskap kan vara recept och muntligt överförda sätt att göra saker.
Mokyr visar att innan fasen med ihållande tillväxt var stora teknologiska innovationer –makroinnovationer i Mokyrs terminologi – baserade på föreskrivande kunskap. Man visste att något fungerade men inte i grunden varför. Kunskapen om att en viss teknik fungerar hade typiskt kommit genom en lång rad mer eller mindre slumpmässiga försök eller bara av en tillfällighet. Den föreskrivande kunskapen hade därmed bara en liten grund i den förklarande kunskapen. I de flesta fall visste man inte mer om de använda teknikerna än att ”de fungerar”.
Med så svag grund i förklarande kunskap var det svårt eller omöjligt att förbättra designen och utvidga användningsområdena för makroinnovationer på det sätt som sker i dag. I Mokyrs egna ord: Det var ”en värld med ingenjörer utan kunskap om mekanik, järnframställning utan metallurgi, jordbruk utan biologi och jordvetenskap, gruvdrift utan geologi, vattenkraft utan hydrologi, tygfärgning utan organisk kemi, medicinska behandlingar utan mikrobiologi och immunologi.”3 Försök att bygga vidare på tidigare kunskap blev då slumpmässiga och tog ofta en riktning som man med tillräcklig förklarande kunskap skulle insett vara lönlösa, t ex att bygga evighetsmaskiner eller skapa guld med alkemi. Kunskap om att ympning kunde skydda mot smittkoppor fanns t ex många hundra år innan virologin utvecklades men utan koppling till förklarande kunskap kunde man inte bygga vidare på denna insikt.
Under 1600- och 1700-talen skedde en vetenskapsrevolution som en del av upplysningen. Noggranna mätmetoder, kontrollerade experiment och upprepbarhet blev kritiska inslag i den vetenskapliga metoden. Detta skapade en stor expansion av förklarande kunskap genom att beskriva de naturlagar som förklarade varför uppfinningar som t ex ångmaskinen och stålframställning fungerade. På ett sätt som inte skett tidigare i världshistorien blev den nya förklarande kunskapen tydligt ihopkopplad med föreskrivande kunskap. Med denna kunskap blev det mycket enklare att hitta nya idéer för att förbättra existerande uppfinningar och finna nya användningsområden. I Mokyrs terminologi ledde detta till en stadig ström av mikroinnovationer. Dessa stimulerade i sin tur en ökad ackumulering av förklarande kunskap. Vetenskapssamhället ville förstå varför viktiga tekniker fungerade.
Vetenskapsrevolutionen innebar också att vetenskapliga framsteg spreds på ett sätt som inte skett tidigare. Vetenskapliga tidskrifter startades och skapade möjligheter för både forskare och innovatörer att mycket snabbare dra nytta av nya forskningsrön. Antalet vetenskapliga tidskrifter ökade mycket snabbt under 1700-talet.
Under upplysningstiden skapades vetenskapssammanslutningar som det internationella samfundet Republic of Letters (Res Publica Litterarum) eller de nationella Royal Society i Storbritannien, Académie des Sciences i Frankrike och Kungliga Vetenskapsakademien i Sverige. Syftet med dessa var att sprida forskningsresultat och underlätta för att dessa kom till användning. De var också ett uttryck för en ny tidsanda som utgick ifrån att den fysiska världen går att förstå och förklara. Sammanslutningarna var viktiga för kopplingen mellan förklarande och föreskrivande kunskap och bidrog därför till den positiva återkoppling som skapade den goda cirkeln med ett ständigt flöde av ny användbar kunskap.4
Utan återkoppling mellan förklarande och föreskrivande kunskap hade kunskapsackumuleringen efter vetenskapliga genombrott tidigare i historien avstannat på grund av avtagande marginalavkastning som gör det svårare och svårare att utvidga kunskapsfronten. Men förklarande och föreskrivande kunskap är komplementära. Detta kan neutralisera den avtagande marginalavkastningen i varje kunskapstyp enskilt och därmed lägga grunden för en ihållande tillväxt baserad på ett kontinuerligt flöde av tekniska innovationer. Detta skedde i Storbritannien runt sekelskiftet 1800 då tillväxten blev ihållande för första gången i världshistorien.
Praktisk kompetens också nödvändig
Men vetenskaplig kunskap är inte nog. För att omsätta nya idéer i verkligheten krävs praktisk, mekanisk och inte minst kommersiell kompetens. Utan sådan kan inte ens de mest briljanta idéer, som Leonardo Da Vincis helikopterritningar, lämna ritbordet. Mokyr har i sitt arbete visat att Storbritannien hade en stor tillgång på duktiga hantverkare och ingenjörer. Dessa kunde förstå ritningar och omsätta vetenskapliga idéer i kommersialiserbara produkter. Att det fanns så många duktiga mekaniker, klockmakare, timmermän, glasskärare och metallbearbetare var centralt för att det var just i Storbritannien som ihållande tillväxt först uppstod. Storbritannien hade här en betydande fördel jämfört med t ex Frankrike och Tyskland, som var minst lika framstående när det gällde upplysningen och den vetenskapliga revolutionen. Kunskaper dessa gav kunde spridas och användas i Storbritannien.
I Kelly m fl (2023) visar Mokyr med sina medförfattare att tillgång till mekanisk kompetens var en central faktor i industrialiseringen. De undersöker en rad olika faktorer som nämnts som potentiellt viktiga genom att jämföra 41 grevskap (counties) under perioden 1760 till 1830. De visar att tillgången till mekanisk kompetens, mätt som andelen av arbetskraften som arbetar i yrken som kräver teknisk och hantverksmässig skicklighet, väl predicerar graden av industrialisering i mitten av 1800-talet. En hög lön, som nämnts som en potentiell förklaring eftersom den skapar incitament för mekanisering, har tvärtemot hypotesen ett negativt samband med industrialisering. Andra faktorer som grevskapets tillgång till kol, till finansiellt kapital och läskunnighet hade bara ett svagt samband med industrialisering. Författarna visar också att sambandet gäller i specifikationer som tar hänsyn till möjligheten att en annan faktor driver både industrialisering och tillgång till mekanisk kompetens.
Kopplingen mellan all ny användbar kunskap och praktikernas kunskap förstärkte den positiva återkopplingen mellan förklarande och föreskrivande kunskap. Skapandet av användbar kunskap blev en självdrivande och kontinuerlig process. Mer användbar kunskap ledde till ytterligare mer sådan. Beskrivningen av hur denna återkoppling uppstod och behövdes för att den ekonomiska tillväxten skulle bli ihållande är central i Mokyrs prisbelönta bidrag.
Minskat motstånd mot förändring
En sista faktor som enligt Mokyr krävs för ihållande tillväxt är att samhället är förändringsvilligt. Teknologisk utveckling genom kreativ förstörelse skapar inte bara vinnare utan också förlorare. Mokyr är en pionjär i en viktig litteratur som visar att ny teknologi ofta mötts av motstånd från etablerade intressegrupper som såg sina privilegier hotade. Med upplysningen kom en ökad allmän acceptans för förändring. Nya institutioner, t ex det brittiska parlamentet, gav mindre möjligheter för de priviligierade att blockera förändring. I stället skapades både förutsättningar för konkurrens mellan olika intressegrupper och möjlighet för ömsesidigt fördelaktiga kompromisser mellan vinnare och förlorare. Dessa samhälleliga förändringar tog bort ett viktigt hinder för ihållande tillväxt.
Ibland kan också förklarande kunskap bidra till att minska motståndet mot nya idéer. Den ungerske läkaren Ignaz Semmelweis visste på 1800-talet att mödradödligheten i samband med förlossning minskade drastiskt om läkare och annan personal tvättade händerna. Hade han vetat varför och kunnat visa att det finns farliga bakterier som dör av handtvättning hade hans idéer kanske inte förkastats av kollegorna.
Mokyr studerar andra länder som tidigare i världshistorien inte genomgått transformationen från stagnation till ihållande tillväxt. Ett särskilt viktigt exempel är Kina som fram till 1300-talet hade ett teknologiskt försprång över Europa. Viktiga innovationer som plogen, masugnen, klockan, framsteg inom sjöfarten, inom produktion av paper, porslin, sprängämnen och mediciner gjordes i Kina. Men Kina lyckas inte upprätthålla en hög innovationstakt och inte övergå från en erfarenhetsbaserad till en mer vetenskaplig teknologiutveckling. Det politiska centralstyret var en blockering som hindrade den utveckling som i Storbritannien ledde till den industriella revolutionen.
- Aghion och Howitt – en teori för kreativ förstörelse
Tillväxt – en omskakande process
Joel Mokyr använde historiska observationer för att identifiera vad som krävs för ihållande tillväxt. Philippe Aghion och Peter Howitt kompletterar Mokyrs arbeten genom att konstruera en matematisk modell för hur teknisk utveckling kan leda till ihållande tillväxt. Tillvägagångssätten är annorlunda men i grunden behandlar de samma frågor och fenomen.
Som vi sett ovan har den ekonomiska tillväxten sedan den industriella revolutionen varit förvånansvärt stabil. Men under ytan är verkligheten allt annat än stabil. Figur 3 visar att i USA försvinner runt tio procent av alla företag varje år och lika många kommer till. Bland överlevande företag försvinner en stor mängd jobb varje år medan nya tillskapas. I Sverige sker också en stor kontinuerlig omsättning av jobb och företag, även om sifforna inte är riktigt lika höga.
Figur 3. Jobb och företagsomsättning i USA i procent per år (5-åriga snitt)

Anm: Grön streckad – nytillkomna jobb, gul streckad – nedlagda jobb, röd streckad – nedlagda företag, blå heldragen – nytillkomna företag.
Källa: För källor och detaljer, se figur 8 i KVA (2025).
Figur 4 visar att det också finns ett positivt samband mellan omsättning av jobb och företag å ena sidan och produktivitetstillväxt å den andra. Varje observation är ett femårigt genomsnitt för en viss sektor i USA:s ekonomi. Arbetsproduktiviteten tenderar att växa snabbare i sektorer och under tidsperioder då omsättningen på företag och jobb är hög.
Figur 4. Omsättning och arbetsproduktivitet i USA

Anm: Den vänstra figuren visar andelen företagsnedläggningar per år på x-axeln och den högra jobbförstörelse. På y-axeln visas i båda figurerna årlig tillväxttakt i arbetsproduktivitet.
Källa: För källor och detaljer, se figur 10 i KVA (2025).
Kreativ förstörelse
Aghion och Howitt insåg att denna turbulenta process där företag och jobb hela tiden försvinner och ersätts av nya är kärnan i den process som leder till ihållande tillväxt. Ett företag som kommer på en bättre produkt eller ett effektivare sätt att producera kan konkurrera ut andra företag och bli herre på täppan. Men så fort det sker skapas också drivkrafter för andra företag att ytterligare förbättra produkten eller sättet den produceras på för att bli den nya herren på täppan.
Aghion and Howitt använder termen kreativ förstörelse för denna kontinuerliga och självdrivande process där framgångsrika innovationer ersätter de gamla och samtidigt sår fröet till nya. Att nya innovationer skapas innebär att processen är nyskapande (kreativ). Samtidigt kastas ju den gamle herren ned från täppan och dennes vinster försvinner. I den meningen är processen också förstörande (destruktiv).[5]
Aghion och Howitt byggde på tidigare idéer om hur företag tävlar om att bli först med en patenterbar uppfinning. Men de var först med att bygga en komplett ekonomisk modell med företag som redan gjort en uppfinning, sådana som investerar i att hitta bättre produkter och konsumenter som sparar, investerar och konsumerar.
Modellen för kreativ förstörelse
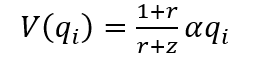
Låt oss nu lite förenklat beskriva modellen från 1992. I ekonomin finns ett stort antal sektorer som producerar olika insatsvaror. Dessa används i produktionen av en slutlig vara. Teknisk utveckling sker genom att kvaliteten på insatsvarorna successivt förbättras. I varje sektor finns i varje tidsperiod ett företag som producerar insatsvaror med den för tillfället högsta kvaliteten. Låt qi beteckna kvaliteten på insatsvaran som produceras i sektor i. Företaget som producerar denna har patent och gör därför en monopolvinst. Givet antaganden om produktionsfunktioner och substituerbarhet mellan de olika insatsvarorna blir vinsten proportionell mot kvaliteten:
(1)
Andra företag bedriver forskning och utveckling (FoU) och om de hittar en bättre kvalitet kommer de att ta över ledarrollen och monopolet. Detta sker med den (endogena) sannolikheten z. Det diskonterade nuvärdet av de förväntade vinsterna från ett patent med kvaliteten qi är därmed:
(2)
där r är den (endogena) diskonteringsräntan. Som vi ser diskonteras vinsterna också med z eftersom det varje period är en sannolikhet z att monopolvinsten försvinner genom att ett annat företag hittar en bättre kvalitet och blir ny herre på täppan.
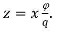
Nästa steg är att beskriva FoU-processen, alltså vad som styr z. Här görs det enkla antagandet att z är proportionell mot hur mycket resurser x som satsas på FoU:
(3)
φ är här en parameter som beskriver effektiviteten i FoU. Vi ser också att z är omvänt proportionell mot den existerande kvaliteten q. Det är alltså mer resurskrävande att förbättra en existerande kvalitet ju högre denna är.
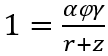
Om FoU-satsningen är framgångsrik kommer den existerande kvaliteten att öka med en exogen faktor γ > 1. Denna faktor antas vara tillräckligt stor för att den gamla innehavaren av det bästa patentet helt slås ut.6 Om en innovation görs, vilket sker med sannolikheten z, får innovatören fr o m nästa period de förväntade vinsterna av kvaliteten γq, dvs V(γq). Det förväntade privatekonomiska värdet av att bedriva FoU givet att den nuvarande bästa kvaliteten är q är därmed zV(qγ)/(1+r). Genom att ersätta z och V(γq) med uttrycken för dessa i (2) och (3) får vi att värdet per resursenhet som satsas i FoU blir φαφ/(r+z). Priset på FoU-resurser är normaliserat till 1. Eftersom perfekt konkurrens antas i FoU-verksamhet blir jämviktsvillkoret att kostnad och värde av att bedriva FoU per resursenhet ska balansera. Detta innebär att
(4)
Vi kan notera att z i ekvation (4) är sannolikheten att i framtiden bli av med monopolvinsterna. Detta beror i sin tur på framtida FoU-aktivitet. Eftersom z står i nämnaren kommer en hög framtida FoU-aktivitet att minska incitamenten till FoU i dag och tvärtom. Detta skapar stabilitet och innebär att det givet en konstant ränta finns en jämviktspunkt där z och därmed FoU-aktiviteten är konstant.
Nu återstår bara att bestämma jämviktsräntan. Det görs genom att åsätta en logaritmisk nyttofunktion hos det representativa hushållet. I jämvikt bestäms då räntan av Euler-ekvationen 1+r = (1+g)(1+ρ) där g är tillväxttakten i ekonomin och ρ är den subjektiva diskonteringsräntan. En hög tillväxttakt ökar viljan att låna av framtida höga inkomster och ger därmed en hög jämviktsränta. En hög subjektiv diskonteringsränta innebär att hushållen är mer otåliga vilket också ökar räntan. Tillväxttakten g i ekonomin bestäms av FoU-aktiviteten eftersom den bestämmer den genomsnittliga innovationstakten i ekonomin.
Efter denna analys kan man härleda ett uttryck för innovationstakten i allmän jämvikt, z*
(5)
Innovationstakten beror som vi ser positivt på α, den proportionalitetsfaktor som bestämmer hur lönsamt det är att vara herre på täppan med den högsta kvaliteten. Den beror också positivt på φ, produktiviteten i FoU-verksamhet. En högre subjektiv diskonteringsränta ρ har däremot en negativ effekt på innovationstakten genom att den driver upp räntan och därmed minskar lönsamheten i FoU.
Välfärdseffekter
Eftersom det i Aghions och Howitts modell finns hushåll med väldefinierade nyttofunktioner kan den användas för att analysera välfärdseffekter. Dessa beskriver då effekter på hushållens förväntade nytta. Särskilt intressant är frågan om marknadslösningen ger rätt mängd FoU och därmed rätt ekonomisk tillväxttakt. Tidigare modeller som inte analyserade hela ekonomin i allmän jämvikt kunde inte svara på sådana frågor. Det visade sig att svaret inte var trivialt eftersom det i modellen finns två mekanismer som drar åt motsatta håll.
Den första mekanismen bygger på att företag som investerar i FoU förstår att de löpande vinster en innovation ger inte kommer att vara för evigt. Förr eller senare kommer en ny och bättre innovation från ett annat företag vilket gör att vinsterna försvinner. Detta fångas i modellen genom att vinsten från en lyckosam innovation i ekvation (2) diskonteras med r+z, summan av räntan och sannolikheten att den privata vinsten försvinner. Sett ur samhällets synvinkel försvinner dock inte värdet av den gamla innovationen när en ny görs. Den nya bygger ju vidare på den gamla och hade alltså inte varit lika bra om inte den gamla funnits. Värdet av innovationen ska därför bara diskonteras med räntan r. Utkonkurrerade innovationer är därför mer värdefulla för samhället än för dem som utvecklar dem. Denna mekanism gör att de privata drivkrafterna för FoU är mindre än de samhällsekonomiska. Det skapar ett argument för att subventionera FoU.
Den andra mekanismen handlar om att när ett företag lyckas putta ner en tidigare herre på täppan så får det nya företaget vinster men samtidigt försvinner vinsten för det gamla. Det senare brukar kallas ”affärsstöld” även om det förstås inte är stöld i lagens mening. Eftersom det nya företagets vinst därmed innehåller de vinster som det gamla företaget gjorde kan den vara stor även om den nya innovationen bara är lite bättre än den gamla, dvs om g bara är marginellt större än 1. Denna mekanism skapar starka drivkrafter att göra innovationer och bli ny herre på täppan även om innovationen kanske inte är så stor. Ur samhällsekonomisk synvinkel kan då drivkrafterna för FoU bli för stora. Teknikutvecklingen kan bli för snabb och tillväxten för hög! Det skapar ett argument för att beskatta FoU, eller i alla fall inte subventionera den. I modeller utan affärsstöld, t ex Romer (1990), finns inte denna mekanism och marknaden tenderar då att generellt ge för svaga incitament för FoU.
Vilken av de två drivkrafterna som dominerar går inte att avgöra teoretiskt och en gång för alla. I stället beror svaret på flera faktorer som kan variera mellan olika marknader och tidsperioder. Många forskare menar dock att det förmodligen är den första drivkraften som dominerar i det stora hela – samhället behöver då stödja FoU. Men i vissa branscher kan motsatsen gälla, då ska inte FoU där understödjas med skattemedel. Aghions och Howitts teori är användbar för att avgöra vilket som gäller.
Utvidgningar och relevans
Modellen som Aghion och Howitt konstruerade 1992 har lett till en omfattande litteratur som utvidgat och förbättrat modellen i en rad dimensioner. I Aghion m fl (1997, 2001) inkluderas strategisk interaktion mellan flera företag som producerar imperfekta substitut på samma produktmarknad. Det kommer då att kunna finnas flera företag som konkurrerar mer direkt än i den ursprungliga modellen. Ett viktigt och politikrelevant resultat rör graden av marknadskoncentration på marknader där flera företag producerar substitut. Teorin visar att både för hög och för låg koncentration är dåligt för innovationsprocessen.7 Teorin visar också att incitamenten för FoU är som starkast när det finns flera företag med liknande produkter och ungefär lika kvalitet.
I den ursprungliga modellen av Aghion och Howitt studeras vad Mokyr kallar mikroinnovationer. Aghion m fl (2002) studerar fallet med både mikro- och makroinnovationer och särskilt konsekvenserna för ojämlikhet.
En annan viktig lärdom kommer från det faktum att innovationer skapar både vinnare och förlorare. Det gäller inte bara företag utan också deras anställda. Hög tillväxt kräver mycket kreativ förstörelse. Det betyder att fler jobb försvinner och att arbetslösheten kan bli högre.8 Socialförsäkringar som ger stöd till dem som förlorar sina jobb utan att minska flödet av arbetskraft till nya och mer produktiva jobb kan då vara rätt politik.
Pristagarna visar också att det är viktigt att samhället skapar förutsättningar för att duktiga uppfinnare och entreprenörer får chansen.9 Social rörlighet där ens yrkesval inte bestäms av vilka som är ens föräldrar är därmed viktigt för tillväxten vilket också är en slutsats som fått empiriskt stöd av Aghion m fl (2019).
- Slutsatser och implikationer för samhället
Under de senaste två århundradena har världen upplevt mer ekonomisk tillväxt än någonsin tidigare. Detta har lyft massor med människor från fattigdom och skapat basen för en enorm ökning av levnadsstandard och livskvalitet i stora delar av världen. Grunden för denna utveckling är teknologiska innovationer som för första gången i mänsklighetens historia lett till ihållande ekonomisk tillväxt. Årets pristagare förklarar denna unika utveckling inom samma paradigm: tillväxt genom självdrivande kreativ förstörelse.
Pristagarnas arbete är mycket användbart för att förstå dagens utveckling och kan hjälpa oss att hantera viktiga och aktuella problem. Ett sådant är att produktivitetstillväxten har minskat under de senaste decennierna. En förklaring baserad på Aghions och Howitts forskning är att vissa företag kan ha blivit för dominerande vilket kan ha minskat kraften av den kreativa förstörelsen.10 En politik med syfte att motverka en alltför stor marknadsdominans kan då komma att behövas.
Utvecklingen av artificiell intelligens (AI) skapar både stora potentiella möjligheter och risker. Mokyrs arbete visar att teknologiska innovationer som kan bidra till en större bas av förklarande kunskap och samtidigt göra den mer lättillgänglig kan stärka återkopplingen mellan förklarande och föreskrivande kunskap. AI och liknande verktyg kan öka tillväxttakten i vetenskapliga kunskap och samtidigt accelerera utvecklingen av praktiska tillämpningar. Vi får då en snabbare tillväxt av användbar kunskap. 2024 års Nobelpris i Kemi och Fysik relaterade till AI är exempel på detta.
Pristagarnas forskning betonar att teknologisk utveckling bygger på kreativ förstörelse och i sig därför alltid skapar både vinnare och förlorare. Att stödja personer som drabbas och samtidigt underlätta överflyttningen av arbetskraft från mindre till mer produktiva jobb är därför viktigt för att behålla samhällets acceptans för förändring. Att skydda arbetarna men inte jobben, t ex genom system som ibland kallas flexicurity, är då rätt medicin.
Det är också uppenbart att ihållande tillväxt inte bara har goda konsekvenser för mänsklig välfärd på lång sikt. Ihållande tillväxt är inte synonymt med hållbar tillväxt. Nya innovationer kan ibland ha stora negativa sidoeffekter. Mokyr (2018) argumenterar för att sådana negativa effekter ibland sätter i gång processer som ger lösningar på problemen. Då kan teknologisk utveckling bli en självkorrigerande process. Men det är klart att detta ofta kräver väldesignad och kraftfull politik, t ex när det gäller klimatförändringarna, föroreningar, ohållbar användning av naturresurser, antibiotikaresistens och oacceptabel ojämlikhet. En hög tillväxt ökar ett antal risker och kräver bättre politik.
Avslutningsvis, och kanske viktigast, har pristagarna lärt oss att ihållande tillväxt inte kan tas för given. Ekonomisk stagnation, inte tillväxt, har varit det normala under merparten av mänsklighetens historia. Så även om vi ännu skapar väldigt mycket ny användbar kunskap så visar pristagarnas arbete att vi behöver vara medvetna om och motverka hot mot kunskapstillväxten. Allt för stor marknadsmakt hos ett fåtal företag, restriktioner mot den fria forskningen, regionaliserad i stället för global kunskapstillväxt och blockeringar från intressegrupper är några relevanta hot. Utan en politik som motverkar dessa hot kan maskinen som gett oss ihållande tillväxt, kreativ förstörelse, sluta att fungera. Då får vi människor återigen vänja oss vid permanent stagnation.
1 Också kallad ”eolipil” som var en enkel ångturbin, först beskriven av Heron från Alexandria under första århundradet efter vår tideräknings början.
2 Distinktionen mellan dessa (och andra) kunskapstyper gjordes redan av Aristoteles som benämnde dem episteme och techne.
3 ”a world of engineering without mechanics, ironmaking without metallurgy, farming without soil science, mining without geology, waterpower without hydraulics, dye-making without organic chemistry and medical practice without microbiology and immunology” Mokyr (2005).
4 Edward Jenner, John Ericsson och Gustav Dahlén är några exempel på ledamöter av Kungliga Vetenskapsakademien som bidrog till denna koppling.
5 Begreppet kreativ förstörelse (creative destruction) förknippas med Joseph Schumpeter som på 1940-talet populariserade detta begrepp som en beskrivning av hur den kapitalistiska ekonomin fungerar. Schumpeter konstruerade inte någon komplett ekonomisk modell och var pessimistisk vad gäller möjligheterna för ihållande tillväxt. Den omskakande processen med tydliga förlorare skulle, enligt honom, till slut undergräva förutsättningarna för ihållande tillväxt.
6 I den uppföljande litteraturen har man släppt på detta antagande och även analyserat fallet då g kan väljas (se Klette och Kortum 2004).
Aghion, P, U Akcigit, A Bergeaud, R Blundell och D Hemous (2019), ”Innovation and Top Income Inequality”, The Review of Economic Studies, vol 86, s 1–45.
Aghion, P, A Bergeaud, T Boppart, P J Klenow och H Li (2023), ”A Theory of Falling Growth and Rising Rents”, The Review of Economic Studies, vol 90, s 2675–2702.
Aghion, P, C Harris och J Vickers (1997), ”Competition and Growth with Step-by-step Innovation: An Example”, European Economic Review, vol 41, s 771–782.
Aghion, P, C Harris, P Howitt och J Vickers (2001), ”Competition, Imitation and Growth with Step-by-step Innovation”, The Review of Economic Studies, vol 68, s 467–492.
Aghion, P och P Howitt (1992), ”A Model of Growth through Creative Destruction”, Econometrica, vol 60, s 323–351.
Aghion, P och P Howitt (1994), ”Growth and Unemployment”, The Review of Economic Studies, vol 61, s 477–494.
Aghion, P och P Howitt (1996), ”Research and Development in the Growth Process”, Journal of Economic Growth, vol 1, s 49–73.
Aghion, P, P Howitt och G L Violante (2002), ”General Purpose Technology and Wage Inequality”, Journal of Economic Growth, vol 7, s 315–345.
Broadberry, S, B M Campbell, A Klein, M Overton och B Van Leeuwen (2015), British Economic Growth, 1270–1870, Cambridge University Press, Cambridge UK.
Kelly, M, J Mokyr och C Ó Gráda (2023), ”The Mechanics of the Industrial Revolution”, Journal of Political Economy, vol 131, s 59–94.
Klette, T J och S Kortum (2004), ”Innovating Firms and Aggregate Innovation”, Journal of Political Economy, vol 112, s 986–1018.
Krantz, O (2017), ”Swedish GDP 1300–1560: A Tentative Estimate”, Lund Papers in Economic History: General Issues 152.
KVA (2025), ”Scientific Background to the Sveriges Riksbank Prize in Economic Sciences in Memory of Alfred Nobel 2025”, https://www.kva.se/nyheter/ekonomipriset-2025/.
Mokyr, J (1990), The Level of Riches: Technological Creativity and Economic Progress, Oxford University Press, Oxford.
Mokyr, J (2002), The Gifts of Athena: Historical Origins of the Knowledge Economy, Princeton University Press, Princeton.
Mokyr, J (2005), ”Long-term Economic Growth and the History of Technology”, i Handbook of Economic Growth, vol 1, Elsevier, Amsterdam.
Mokyr, J (2009), The Enlightened Economy and Economic History of Britain 1700–1850, Yale University Press, New Haven.
Mokyr, J (2018), ”The Past and the Future of Innovation: Some Lessons from Economic History”, Explorations in Economic History, vol 69, s 13–26.
Prados de la Escosura, L (2009), ”Lost Decades? Economic Performance in Post-independence Latin America”, Journal of Latin America Studies, vol 41, s 279–307.
Romer, P M (1990), ”Endogenous Technological Change”, Journal of Political Economy, vol 98, S71-S102.
Schön, L och O Krantz (2012), ”The Swedish Economy in the Early Modern Period: Constructing Historical National Accounts”, European Review of Economic History, vol 16, s 529–549.
Schön, L och O Krantz (2015), ”New Swedish Historical National Accounts since the 16th Century in Constant and Current Prices”, Lund Papers in Economic History 140.
Sutch, R (2006), ”National Income and Product. Historical Statistics of the United States: Earliest Time to the Present”, i Carter, S B, S S Gartner och M R Haines (red), Historical Statistics of the United States: Earliest Time to the Present, Cambridge University Press, New York.